Current position:Home >Product >
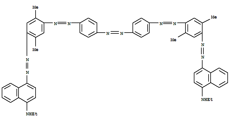
4,4'-[Azobis[4,1-phenyleneazo(2,5-dimethyl-4,1-phenylene)azo]]bis[N-ethyl-1-naphthalenamine]
4,4'-[Azobis[4,1-phenyleneazo(2,5-dimethyl-4,1-phenylene)azo]]bis[N-ethyl-1-naphthalenamine](69432-35-5)
- Name: 4,4'-[Azobis[4,1-phenyleneazo(2,5-dimethyl-4,1-phenylene)azo]]bis[N-ethyl-1-naphthalenamine]
- Synonyms:1-Naphthalenamine,4,4'-[azobis[4,1-phenyleneazo(2,5-dimethyl-4,1-phenylene)azo]]bis[N-ethyl-(9CI); 4,4'-Bis-[2,5-dimethyl-4-(4-ethylaminonaphthylazo)phenylazo]azobenzene
- Molecular Formula:C52H48 N12
- Molecular Weight:841.03
- CAS Registry Number:69432-35-5
- EINECS:
- Melting Point:
- Water Solubility:
Other Product
- 63181-94-2/POLYSTYRENE, CROSSLINKED, QUATERNARY AMMONIUM, CHLORIDE FORM
- 7476-54-2/1,1-dimethoxy-2-methyl-1-phenylpropan-2-yl 3,5-dinitrobenzoate
- 42188-41-0/N-[2-(5-methoxy-1H-indol-3-yl)ethyl]adenosine
- 22227-26-5/3,5-Di(trifluoromethyl)benzamide
- 100695-65-6/2-[(2E)-3,7-dimethyl-7-(2-methylpropoxy)oct-2-en-1-yl]-1-methyl-1H-benzimidazole
- 62868-06-8/4H,8H-Benzo[1,2-b:3,4-b']dipyran-4-one,2- (1,3-benzodioxol-5-yl)-2,3-dihydro-8,8- dimethyl-,(2S)-
- 111712-49-3/tris(3,4-dibromobutyl) phosphate
- 50984-88-8/p-Xylenolphthalein
- 53608-90-5/3-n-Heptyl-5-cyanocytosine
- 68513-60-0/Rhodamine B, turkey red oil precipitate
- 2437-84-5/phenyl 3,4-dichlorobenzenesulfonate
- 73905-95-0/70024-63-4
- 53632-26-1/2-[2-(bis(carboxymethyl)amino)ethyl-(carboxymethyl)amino]acetic acid; 1,3-dioxa-2$l^53632-26-1,4$l^53632-26-1-dimolybdacyclobutane 2,4-dioxide
- 146713-93-1/1-Azuleneacetic acid,3-(b-D-glucopyranosyloxy)-1,2,3,3a,4,5,8,8a-octahydro-6-(methoxycarbonyl)-3a-methyl-,methyl ester, (1a,3b,3aa,8ab)-(+)- (9CI)
- 51300-90-4/tert-butyl hydrogen carbonate
- 83547-95-9/2-ethylhexyl 10-ethyl-4-[[2-[(2-ethylhexyl)oxy]-2-oxoethyl]thio]-7-oxo-8-oxa-3,5-dithia-4-phosphatetradecanoate 4-oxide
- 93284-01-6/methyl 4-(2-chloro-2-oxido-1,3,2-oxazaphospholidin-3-yl)-2-hydroxybenzoate
- 59663-63-7/2-(2-methylphenyl)-5-phenyl-1,3,4-oxadiazole
- 6331-44-8/3-[(pyridin-4-ylmethyl)carbamoyl]-7-oxabicyclo[2.2.1]hept-5-ene-2-carboxylic acid
- 69432-35-5/4,4'-[Azobis[4,1-phenyleneazo(2,5-dimethyl-4,1-phenylene)azo]]bis[N-ethyl-1-naphthalenamine]
- 64502-40-5/Phalloidin, 1-L-valine-(9CI)
- 27122-73-2/2,2,4,4,6,6-hexakis(4-methylphenoxy)-1,3,5,2lambda~5~,4lambda~5~,6lambda~5~-triazatriphosphinine
- 83898-18-4/3-(2-hydroxy-m-tolyl)-1,1-dimethylurea
- 38792-95-9/4-octylcyclohexanecarboxylic acid
- 5108-00-9/N-(benzenecarbonothioyl)-N,N-diphenyl-benzenecarbothiohydrazide
- 95258-20-1/YADANZIOSIDE-E
- 110577-50-9/2-benzyl-3,3-dimethyl-1-(1H-1,2,4-triazol-1-yl)butan-1-one
- 73747-97-4/Benzoic acid,2-[[[[[(4,6-dimethoxy-2- pyrimidinyl)amino]carbonyl]amino]sulfonyl]oxy]- ,methyl ester
- 85153-39-5/6,14-dichloroaceanthryleno[2,1-a]aceanthrylene-5,13-dione
- 113564-23-1/11-deoxytetrodotoxin
