4-[piperazin-1-yl(thiophen-2-yl)methyl]quinoline(5008-51-5)
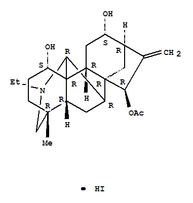
- Name: 4-[piperazin-1-yl(thiophen-2-yl)methyl]quinoline
- Synonyms:7,20-Cycloveatchane-1,12,15-triol,21-ethyl-4-methyl-16-methylene-, 15-acetate, hydriodide, (1a,12a,15b)-; Lucidusculine, hydriodide (8CI);12,3,6a-Ethanylylidene-9,11a-methanoazuleno[2,1-b]azocine, 7,20-cycloveatchane-1,12,15-triolderiv.
- Molecular Formula:C24H35 N O4 . H I
- Molecular Weight:309.4286
- CAS Registry Number:5008-51-5
- EINECS:
- Melting Point:
- Water Solubility:
Other Product
- 4380-80-7/Methanone,phenyl(phosphoranylideneamino)-
- 68513-20-2/Phthalic anhydride, (C16-C18) and C18 unsaturated trialkyl glyceride, benzoic acid, pentaerythritol polymer
- 235426-31-0/2-BROMO-1,5-DIMETHYL-1H-IMIDAZOLE
- 90250-05-8/postural asymmetry factor
- 10333-67-2/METHYL 2-(1H-PYRROL-1-YL)BENZOATE
- 2964-26-3/3-ethyl-2-methyl-1H-indol-5-amine
- 120312-86-9/Spiro[4H,8H-[1,4]dioxepino[2,3-g]indole-8,7'(8'H)-[5H,6H-5a,9a](iminomethano)[3H]cyclopent[f]indolizine]-3',9,10'(10H)-trione,1',2',8'a,9'-tetrahydro-1'-hydroxy-1',4,4,8',8',11'-hexamethyl-,(1'R,5'aS,7'R,8'aS,9'aR)-
- 6267-66-9/2-(morpholin-4-yl)-1,2-diphenylethanol
- 334668-79-0/(6R)-6-[(E)-(benzylimino)methyl]-1,3-dimethyl-8-phenylpyrido[2,3-d]pyrimidine-2,4,5,7(1H,3H,6H,8H)-tetrone
- 21721-78-8/2-(2-CHLORO-ACETYLAMINO)-BENZAMIDE
- 39898-98-1/2H-1,4-Benzodiazepin-2-one,7-chloro-5-(2-fluorophenyl)-1,3-dihydro-1-[2-(2-propen-1-yloxy)ethyl]-
- 156733-09-4/methyl 3-(2-octadecylcyclopropen-1-yl)propanoate
- 91051-92-2/Fatty acids, tallow, sulfurized, compds. with diethanolamine
- 2725-12-4/1-[4-(4-methylphenyl)piperazin-1-yl]-3-phenoxypropan-2-ol
- 6938-28-9/N-(2-acetyl-5-chloro-phenyl)formamide
- 170847-87-7/2-Quinolinepropanoicacid, a-amino-6,7-dimethyl-3-(phosphonomethyl)-,(aR)-
- 78582-18-0/(4E)-4-imino-7-pentofuranosyl-4,7-dihydro-3H-pyrrolo[2,3-d]pyrimidin-3-amine
- 2916-10-1/prop-2-en-1-yl 1-oxaspiro[2.5]octane-2-carboxylate
- 107616-70-6/chloroacetyl nitrate
- 5008-51-5/4-[piperazin-1-yl(thiophen-2-yl)methyl]quinoline
- 20881-04-3/1,2:3,5-Di-O-isopropylidene-alpha-D-xylofuranose
- 56923-34-3/Ethanone,1,1'-[sulfonylbis[6-hydroxy-4-(phenylmethoxy)-3,1-phenylene]]bis- (9CI)
- 70955-49-6/SILOXANES AND SILICONES, ETHOXY HYDROXY PHENYL
- 68584-40-7/Fatty acids, C9-11-branched, vinyl esters, polymers with di-Bu fumarate and vinyl acetate
- 71412-20-9/7-(3-bromo-2-oxopropyl)-3,7-dihydro-1,3-dimethyl-1H-purine-2,6-dione
- 20346-99-0/RUBIDIUM BOROHYDRIDE
- 189281-33-2/Segetalin A,2-(thioglycine)-6-(thio-L-tryptophan)- (9CI)
- 73713-76-5/9,10-dimethoxy-3-(1-methylpropyl)-2,2-bis(phenylsulfanyl)-1,3,4,6,7,11b-hexahydro-2H-pyrido[2,1-a]isoquinoline hydrochloride
- 113106-78-8/N-ethyl-1,2,3,4-tetrahydroacridine-9-carboxamide hydrochloride
- 68856-27-9/Isophthalic acid, diethylene glycol, trimellitic anhydride polyester, sodium and ammonium salts
