Current position:Home >Product >
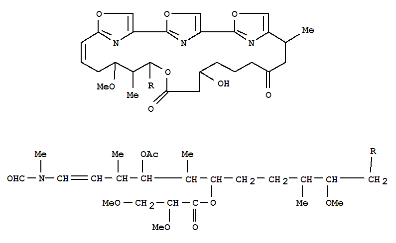
4-O-Acetyl-21-O-de(aminocarbonyl)-27-demethoxy-4-O,23,26-tridemethyl-6-deoxo-25-deoxy-6-(2,3-dimethoxy-1-oxopropoxy)-27-methyl-25-oxokabiramide C
4-O-Acetyl-21-O-de(aminocarbonyl)-27-demethoxy-4-O,23,26-tridemethyl-6-deoxo-25-deoxy-6-(2,3-dimethoxy-1-oxopropoxy)-27-methyl-25-oxokabiramide C(100045-74-7)
- Name: 4-O-Acetyl-21-O-de(aminocarbonyl)-27-demethoxy-4-O,23,26-tridemethyl-6-deoxo-25-deoxy-6-(2,3-dimethoxy-1-oxopropoxy)-27-methyl-25-oxokabiramide C
- Synonyms:KabiramideC,O4-acetyl-O21-de(aminocarbonyl)-27-demethoxy-O4,23,26-tridemethyl-6-deoxo-25-deoxy-6-(2,3-dimethoxy-1-oxopropoxy)-27-methyl-25-oxo-;3,7,19,27-Tetraoxa-29,30,31-triazatetracyclo[24.2.1.12,5.16,9]hentriacontane,kabiramide C deriv.; (-)-Ulapualide B; Stereoisomer of3-(acetyloxy)-6-(formylmethylamino)-1-[5-(16-hydroxy-22-methoxy-10,21-dimethyl-12,18-dioxo-3,7,19,27-tetraoxa-29,30,31-triazatetracyclo[24.2.1.12,5.16,9]hentriaconta-2(31),4,6(30),8,24,26(29),28-heptaen-20-yl)-4-methoxy-3-methylpentyl]-2,4-dimethyl-5-hexenyl2,3-dimethoxypropanoate; Ulapualide B
- Molecular Formula:C51H74 N4 O16
- Molecular Weight:999.15
- CAS Registry Number:100045-74-7
- EINECS:
- Melting Point:
- Water Solubility:
Other Product
- 70247-83-5/1,3-Butadiene, 2-methyl-, homopolymer, of cis-1,4-configuration, cyclized, phenol-modified
- 430-25-1/1,4,8,11-Tetraoxadispiro[4.1.4.1]dodecane(8CI,9CI)
- 42598-85-6/Dimethylthiocarbamic acid
- 113213-52-8/Quinazoline,4-[4-[2-(1,1-dioxidoisothiazolidinyl)ethyl]-1-piperidinyl]-6,7-dimethoxy- (9CI)
- 941-29-7/7,7,9-Trimethyl-1,4-dioxaspiro[4.5]decane
- 42438-76-6/10-hydroxy-2,2,9,9a-tetramethyl-1,2,7,8,9,9a-hexahydro-1,4-methano-3-benzoxepin-5(4H)-one
- 163565-74-0/1,4-Dibenzofurandione,9,9b-di-10-heptadecenyl-4a,9b-dihydro-4a,8-dihydroxy-2,7-dimethoxy- (9CI)
- 84968-72-9/[5-methyl-3-oxo-2-(4-phenyl-1,3-thiazol-2-yl)-2,3-dihydro-1H-pyrazol-4-yl]acetic acid
- 69574-14-7/(3E)-3-[(3,5-dichloro-4-hydroxyphenyl)methylidene]-2-benzofuran-1(3H)-one
- 3128-18-5/4-oxocyclopentane-1,2-dicarboxylic acid
- 15584-03-9/6-methoxy-2-methylsulfanyl-pyrimidine-4-carboxylic acid
- 157478-03-0/1H-Naphtho[2,1-b]pyran-1,5,6,10-tetrol,3-ethenyldodecahydro-7-(hydroxymethyl)-3,4a,7,10a-tetramethyl-,1,6,10-triacetate, (1R,3R,4aS,5S,6S,6aS,7R,10R,10aS,10bS)- (9CI)
- 63885-87-0/2-(3-piperidin-1-ylpropoxy)ethyl 10H-pyrido[3,2-b][1,4]benzothiazine-10-carboxylate hydrochloride
- 40602-08-2/5-[2-(dimethylamino)ethyl]-3-hydroxy-2-(4-hydroxyphenyl)-2,3-dihydro-1,5-benzothiazepin-4(5H)-one hydrochloride (1:1)
- 10517-64-3/2-(2-CYANOPHENYL)ACETOPHENONE
- 90480-57-2/Octanoic acid, pentadecafluoro-, mixed esters with 2,2-(1,4-butanediylbis(oxymethylene))bis(oxirane) and 2,2-(1,6-hexanediylbis(oxymethylene))bis(oxirane)
- 90387-73-8/l-Glutamic acid, reaction products with beta-alanine, 3-((4-amino-2-methyl-5-pyrimidinyl)methyl)-5-(2-hydroxyethyl)-4-methylthiazolium chloride monohydrochloride, l-cysteine hydrochloride, disodium 5-guanylate, disodium 5-inosinate, d-glucitol and glycine
- 100045-74-7/4-O-Acetyl-21-O-de(aminocarbonyl)-27-demethoxy-4-O,23,26-tridemethyl-6-deoxo-25-deoxy-6-(2,3-dimethoxy-1-oxopropoxy)-27-methyl-25-oxokabiramide C
- 91242-72-7/2-(2-methylbutan-2-yl)cyclohexanol
- 73956-52-2/Ai3-61099
- 92969-72-7/Fatty acids,peanut-oil, 2-hydroxypropyl esters
- 37289-35-3/Hydrolase, nucleosidephosphoacyl- (9CI)
- 6918-04-3/1-{N-[1-(ethoxycarbonyl)-3-phenylpropyl]alanyl}-1,2,3,4-tetrahydroquinoline-2-carboxylic acid
- 97593-04-9/Allium victorialis,ext.
- 5020-87-1/4-[2-(5-bromoquinolin-8-yl)-7-(1-methylethyl)-1H-indol-3-yl]butan-1-amine
- 27151-78-6/chloro(11-methoxy-11-oxoundecyl)mercury
- 6387-37-7/2-benzyl-3-(3-nitrophenyl)quinazolin-4(3H)-one
- 79809-27-1/Reactive orange 122
- 26639-79-2/5(3H)-Isobenzofuranone,hexahydro-4,7a-dimethyl-3-(2-methylbutyl)-
- 92870-36-5/1-benzyl-5,5-diethylbarbituric acid
