Current position:Home >Product >
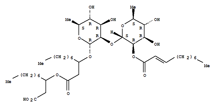
3-({3-[(2-O-{2-O-[(2E)-dec-2-enoyl]-6-deoxyhexopyranosyl}-6-deoxyhexopyranosyl)oxy]decanoyl}oxy)decanoic acid
3-({3-[(2-O-{2-O-[(2E)-dec-2-enoyl]-6-deoxyhexopyranosyl}-6-deoxyhexopyranosyl)oxy]decanoyl}oxy)decanoic acid(61601-55-6)
- Name: 3-({3-[(2-O-{2-O-[(2E)-dec-2-enoyl]-6-deoxyhexopyranosyl}-6-deoxyhexopyranosyl)oxy]decanoyl}oxy)decanoic acid
- Synonyms:2-Decenoicacid, 2''-ester with 1-(carboxymethyl)octyl 3-[[6-deoxy-2-O-(6-deoxy-a-L-mannopyranosyl)-a-L-mannopyranosyl]oxy]decanoate;NSC 285246; Rhamnolipid B
- Molecular Formula:C42H74 O14
- Molecular Weight:803.0286
- CAS Registry Number:61601-55-6
- EINECS:
- Melting Point:
- Water Solubility:
Other Product
- 51581-49-8/1-(3-METHOXYPHENYL)-1H-IMIDAZOLE-2-THIOL
- 64158-75-4/2-aminohydroquinone hydrobromide
- 64159-62-2/32M5
- 35790-96-6/Olean-12-en-28-oicacid, 3-[[4-O-(6-deoxy-a-L-mannopyranosyl)-a-L-arabinopyranosyl]oxy]-, O-6-deoxy-a-L-mannopyranosyl-(1®4)-O-b-D-glucopyranosyl-(1®6)-b-D-glucopyranosyl ester, (3b)-
- 4239-69-4/2,2-dimethyl-5-(2-sulfinyl-1,3-dithiolan-4-yl)tetrahydrofuro[2,3-d][1,3]dioxol-6-yl 4-methylbenzenesulfonate (non-preferred name)
- 41519-28-2/(2Z,4E)-hexa-2,4-dien-1-yl 2,2-dimethylpentanoate
- 39860-75-8/N-[4-(BENZYLOXY)BENZYL]-N-PHENYLAMINE
- 58369-59-8/2,2,2-trichloro-1-(2-methoxyphenyl)ethanol
- 90341-98-3/Cyclohexanemethanamine, 5-amino-1,3,3-trimethyl-, reaction products with 2,2-(1,6-hexanediylbis(oxymethylene))bis(oxirane)
- 6863-77-0/Pyrazinamine, 4-oxide (9CI)
- 91053-00-8/Hydrocarbons, C4,1,3-butadiene-free, polymd., tetraisobutylene fraction
- 6045-87-0/5-methyl-2-(3-nitrophenyl)-4H-3,1-benzoxazin-4-one
- 92623-45-5/Benzenesulfonic acid, 4-hydroxy-, reaction products with formaldehyde and urea
- 71662-45-8/2-Oxepanone, polymer with 2-ethyl-2-(hydroxymethyl)-1,3-propanediol, bis(hydrogen (2Z)-2-butenedioate)
- 66018-77-7/biphenyl-4-yl phenylcarbamate
- 130198-05-9/1-[2-Amino-1-(4-methoxyphenyl)-ethyl]-cyclohexanol hydrochloride
- 61601-55-6/3-({3-[(2-O-{2-O-[(2E)-dec-2-enoyl]-6-deoxyhexopyranosyl}-6-deoxyhexopyranosyl)oxy]decanoyl}oxy)decanoic acid
- 61393-43-9/(E)-[1-(3-methoxyphenyl)-3-methyl-1,3-dihydro-2H-imidazol-2-ylidene]-N-oxomethanaminium
- 5417-34-5/2-[(1Z)-prop-1-en-1-yl]-4,7-dihydro-1,3-dioxepine
- 68309-88-6/Tallow, potassium salt
- 3619-30-5/N-methylformimino methyl ester
- 13595-25-0/4,4'-(1,3-PHENYLENEDIISOPROPYLIDENE)BISPHENOL
- 110784-15-1/11H-1,4-Dioxino[2,3-b]xanthen-11-one,2,3-dihydro-3-(4-hydroxy-3-methoxyphenyl)-2-(hydroxymethyl)-5-methoxy- (9CI)
- 92129-03-8/Naphthenic acids,reaction products with tetraethylenepentamine, dodecylbenzenesulfonatespalmitoleates
- 20770-65-4/Anthirrinoside
- 12173-46-5/Hastingsite (Ca2[(Fe0.71-1Mg0-0.29)3.75-4.25- (Fe0.5-1Al0-0.5)0.75-1.25](Si5.75-6.25Al1.75-2.25)- Na(OH)2O22)
- 21298-64-6/Toluene, a,a-bis[(p-nitrobenzyl)sulfonyl]- (8CI)
- 261165-03-1/(S)-N-BOC-(5-BROMO-2-METHOXYPHENYL)ALANINE
- 75883-44-2/1-[2-({4,7-dimethoxy-5-[(2-methylpropanoyl)amino]-1-benzofuran-6-yl}oxy)ethyl]piperidinium chloride
- 69012-96-0/C36 Dimer fatty acid, benzoic acid, ethylene glycol, pentaerythritol, phthalic anhydride, tall oil fatty acid polymer
