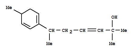
3-Hepten-2-ol,2-methyl-6-(4-methyl-1,5-cyclohexadien-1-yl)- (9CI)(120913-68-0)
- Name: 3-Hepten-2-ol,2-methyl-6-(4-methyl-1,5-cyclohexadien-1-yl)- (9CI)
- Synonyms:BisabolenolB
- Molecular Formula:C15H24 O
- Molecular Weight:
- CAS Registry Number:120913-68-0
- EINECS:
- Melting Point:
- Water Solubility:
Other Product
- 255-82-3/Pyrido[1,2-a]pyrimidin-5-ium
- 67905-88-8/Formaldehyde, polymer with N-(2-aminoethyl)-1,2-ethanediamine, 4-nonylphenol and oxirane
- 13801-50-8/3,4,5,6-Tetrachloro-1,2-benzenedithiol
- 23531-95-5/FUROPINNARIN
- 55467-91-9/2-[(bis(2-hydroxyethyl)amino)-(2-hydroxyethyl)amino]ethanol
- 85506-31-6/(Isodecanoato-O)(isononanoato-O)(neodecanoato-O)cerium
- 65808-73-3/N-[4-chloro-2-(2-chlorobenzoyl)phenyl]-N-methyl-2-[(2-phenylacetyl)ami no]acetamide
- 92113-61-6/Fatty acids, coco, 2-(bis(2-hydroxyethyl)amino)ethyl esters
- 56187-47-4/Cefazedone
- 61258-37-5/1-[4-(2,4-dichlorophenyl)-2-(prop-2-en-1-yloxy)butyl]-1H-imidazole nitrate
- 52932-96-4/diethoxyphosphinic acid; ethoxyphosphonic acid
- 15029-37-5/2-CYANO-N-CYCLOPROPYL-ACETAMIDE
- 1682-39-9/5-Fluorobenzoxazol-2-amine
- 99530-82-2/Cucurbitacin F-25-acetate
- 37277-86-4/E.C. 2.6.1.23
- 62565-69-9/Phosphoroselenoic tribromide
- 66521-48-0/1-(p-(3,3-Dimethyl-1-triazeno)phenyl)urea
- 80586-54-5/2-(4-methyl-1,2,5-oxadiazol-3-yl)ethanol
- 4430-75-5/Octahydro-2H-pyrido[1,2-a]pyrazine
- 120913-68-0/3-Hepten-2-ol,2-methyl-6-(4-methyl-1,5-cyclohexadien-1-yl)- (9CI)
- 68813-94-5/Sulfuric acid, zinc salt, basic
- 56444-81-6/1-(ethylsulfanyl)-2-methoxyethane
- 125441-91-0/Castor oil, dehydrated, polymer with 4-(1,1-dimethylpropyl)phenol, formaldehyde, glycerol, maleic anhydride, petroleum resins and rosin
- 51076-04-1/r-D-Talofuranose
- 15632-39-0/TRIS(2,2,6,6-TETRAMETHYL-3,5-HEPTANEDIONATO)YTTRIUM(III)
- 160902-68-1/9-Octadecenoic acid(9Z)-, ethyl ester, mixt. with ethoxylated fatty alcs. and a-(1-oxo-9-octadecenyl)-w-hydroxypoly(oxy-1,2-ethanediyl)(9CI)
- 25757-99-7/Phosphor(isothiocyanatidous)acid (8CI,9CI)
- 58178-01-1/methyl N-acetyl-2-(acetylsulfanyl)-3-chloroalaninate
- 93777-92-5/(3-(2,3-epoxypropoxy)propyl)(2-methoxyethoxy)dimethylsilane
- 1574-86-3/2-Pentanone,5-nitro-4-phenyl-
