Current position:Home >Product >
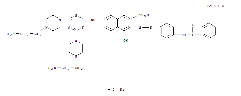
2-Naphthalenesulfonicacid,7-[[4,6-bis[4-(2-aminoethyl)-1-piperazinyl]-1,3,5-triazin-2-yl]amino]-3-[2-[4-[[4-[2-[6-[[4,6-bis[4-(2-aminoethyl)-1-piperazinyl]-1,3,5-triazin-2-yl]amino]-1-hydroxy-3-sulfo-2-naphthalenyl]diazenyl]benzoyl]amino]phenyl]diazenyl]-4-hydroxy-,sodium salt (1:2)
2-Naphthalenesulfonicacid,7-[[4,6-bis[4-(2-aminoethyl)-1-piperazinyl]-1,3,5-triazin-2-yl]amino]-3-[2-[4-[[4-[2-[6-[[4,6-bis[4-(2-aminoethyl)-1-piperazinyl]-1,3,5-triazin-2-yl]amino]-1-hydroxy-3-sulfo-2-naphthalenyl]diazenyl]benzoyl]amino]phenyl]diazenyl]-4-hydroxy-,sodium salt (1:2)(163183-05-9)
- Name: 2-Naphthalenesulfonicacid,7-[[4,6-bis[4-(2-aminoethyl)-1-piperazinyl]-1,3,5-triazin-2-yl]amino]-3-[2-[4-[[4-[2-[6-[[4,6-bis[4-(2-aminoethyl)-1-piperazinyl]-1,3,5-triazin-2-yl]amino]-1-hydroxy-3-sulfo-2-naphthalenyl]diazenyl]benzoyl]amino]phenyl]diazenyl]-4-hydroxy-,sodium salt (1:2)
- Synonyms:2-Naphthalenesulfonicacid, 7-[[4,6-bis[4-(2-aminoethyl)-1-piperazinyl]-1,3,5-triazin-2-yl]amino]-3-[[4-[[4-[[6-[[4,6-bis[4-(2-aminoethyl)-1-piperazinyl]-1,3,5-triazin-2-yl]amino]-1-hydroxy-3-sulfo-2-naphthalenyl]azo]benzoyl]amino]phenyl]azo]-4-hydroxy-,disodium salt (9CI)
- Molecular Formula:C63H79 N25 O9 S2 . 2 Na
- Molecular Weight:
- CAS Registry Number:163183-05-9
- EINECS:
- Melting Point:
- Water Solubility:
Other Product
- 82921-32-2/6-amino-2-(dicyanomethylidene)-4-(4-methoxyphenyl)-1,2-dihydropyridine-3,5-dicarbonitrile
- 106424-71-9/Benzenesulfonic acid, 3,3'-(1,2,3,8,9,10-hexahydro- 1,3,8,10-tetraoxoanthra[2,1,9-def:6,5,10-d'e'f' ]diisoquinoline-2,9-diyl)bis[6-[(-amino-6-chlor o-8-triazin-2-yl)amino]-, disodium salt
- 59794-34-2/3(2H)-Benzothiazoleaceticacid, 2-thioxo-
- 56434-43-6/4-ethyl-2-methyl-4-nitrodecahydropyrido[1,2-a][1,4]diazepine
- 5432-17-7/ETHYL M-ETHOXYBENZOATE
- 80238-38-6/(2-acetylhydrazinylidene)(phenyl)acetic acid
- 90888-87-2/Tetracyclo[4.3.1.03,10.08,10]decane(9CI)
- 4169-27-1/octahydroquinolin-2(1H)-one
- 67133-33-9/methyl 2-(4-nitrophenyl)-2,3,3a,4-tetrahydrochromeno[4,3-b]pyrrole-3-carboxylate
- 125328-43-0/Amines, hydrogenatedrape-oil alkyl
- 107194-09-2/2-Propenoic acid, 2-methyl-, methyl ester, polymer with 1-cyclohexyl-1H-pyrrole-2,5-dione, ethenylbenzene and (1-methylethenyl)benzene
- 92797-30-3/Fatty acids, C14-22,C16-24-alkyl esters
- 54368-83-1/2-{1-[3-(1-methoxyethyl)pyridin-4-yl]ethylidene}-1,2-dihydro-3H-indol-3-one
- 93260-59-4/2-chloro-4-(2-phenylethenyl)quinoline
- 62458-00-8/furan-2-yl[1-(methoxymethyl)-1H-imidazol-2-yl]methanone
- 60186-31-4/5-fluoro-7aH-imidazo[4,5-b]pyridine
- 24386-87-6/5-bromo-N-hydroxy-7-pentofuranosyl-7H-pyrrolo[2,3-d]pyrimidin-4-amine
- 163183-05-9/2-Naphthalenesulfonicacid,7-[[4,6-bis[4-(2-aminoethyl)-1-piperazinyl]-1,3,5-triazin-2-yl]amino]-3-[2-[4-[[4-[2-[6-[[4,6-bis[4-(2-aminoethyl)-1-piperazinyl]-1,3,5-triazin-2-yl]amino]-1-hydroxy-3-sulfo-2-naphthalenyl]diazenyl]benzoyl]amino]phenyl]diazenyl]-4-hydroxy-,sodium salt (1:2)
- 96444-41-6/2-chloro-N-{2-[(1R)-1-hydroxyethyl]-6-methylphenyl}-N-[(2S)-1-methoxypropan-2-yl]acetamide
- 68921-57-3/Urea, reaction products with hydrogenated adiponitrile high-boilingfraction
- 27104-14-9/(E)-hexadec-2-enal
- 2601-47-0/Glycine, L-cysteinyl-,monohydrochloride (9CI)
- 30166-77-9/(E)-2-biphenyl-4-ylethenyl phenyl sulfone
- 15257-89-3/N-(2-chloroethyl)-3,5-dimethylbenzamide
- 5935-99-9/4-{[4-(3,4-dichlorophenyl)-1,3-thiazol-2-yl]amino}benzenesulfonamide
- 87961-08-8/Imidazo[1,2-b][1,2,4]triazine,2,3,7-trimethyl-6-phenyl-
- 67589-38-2/(4-methoxyphenyl) 4-propylcyclohexane-1-carboxylate
- 96294-09-6/Carbonic dichloride, polymer with 4,4-diisocyanato-3,3-dimethyl-1,1-biphenyl, 2-ethyl-2-(hydroxymethyl)-1,3-propanediol, 1,6-hexanediol, 4,4-(methanetetrayldinitrilo)bis(3,5-bis(1-methylethyl)phenol), 2-oxepanone and 2,2-(1,3-phenylenebis(oxy))bis(ethanol)
- 6115-62-4/N-[2-(3-chlorophenyl)ethyl]-3-nitrobenzamide
- 147256-33-5/Fatty acids, C18-unsatd., dimers, mixed esters with oleic acid and trimethylolpropane
