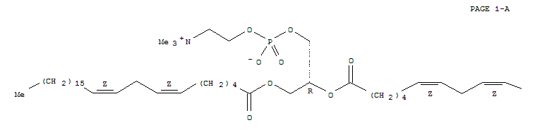
1,2-di-6,9-hexacosadienoylphosphatidylcholine(117994-73-7)
- Name: 1,2-di-6,9-hexacosadienoylphosphatidylcholine
- Synonyms:1,2-di-6,9-hexacosadienoylphosphatidylcholine
- Molecular Formula:C60H112 N O8 P
- Molecular Weight:1006.506941
- CAS Registry Number:117994-73-7
- EINECS:
- Melting Point:
- Water Solubility:
Other Product
- 6483-64-3/SPECIAL RED 3R
- 167542-64-5/7H-Furo[3,2-g][1]benzopyran-7-one,6,6'-[(2-chlorophenyl)methylene]bis[5-hydroxy-4-methoxy-
- 28156-50-5/Vinyl acetate, dimethyl maleate copolymer
- 56675-15-1/(2R,6S)-3,6-dimethyl-1,2,3,4,5,6-hexahydro-2,6-methano-3-benzazocin-8-ol hydrochloride (1:1)
- 57602-86-5/(3R)-1-[(10S)-8-chloro-10,11-dihydrodibenzo[b,f]thiepin-10-yl]-N-ethyl-N-methylpyrrolidin-3-amine
- 490-89-1/noradrenochrome
- 81700-63-2/2-benzylideneglutaraldehyde
- 54043-73-1/[2-methyl-3-(2-methyl-5-prop-1-en-2-yl-1-cyclopentenyl)propyl] acetate
- 20107-26-0/Vernomenin
- 123886-69-1/(3S,4S)-7-methoxy-2,2-dimethyl-3-phenyl-4-[4-(prop-2-en-1-yloxy)phenyl]-3,4-dihydro-2H-chromene
- 85461-01-4/7-(2-(2-(2,6-Dichlorophenyl)-3,3-dimethylguanidino)ethyl)theophylline hydrochloride
- 33984-69-9/2,2a-Dihydro-2a,8-dihydroxy-4-methylbenzo[g]furo[2,3,4-ij][2]benzopyran-10-yl β-D-glucopyranoside
- 86860-76-6/N-gamma-glutamyldiaminopropionic acid
- 102206-76-8/Pyridine,1,2,3,6-tetrahydro-1-[2-[5-methyl-2-(1-methylethyl)phenoxy]ethyl]-,hydrochloride (1:1)
- 84373-74-0/4-N-glycyllysinomicin
- 72361-51-4/Bisphenol A, phthalic anhydride, bis(4-(m-aminophenoxy)butyl)tetramethyldisiloxane polymer
- 69256-17-3/1-[(2R,3S,4R,5R)-3-Fluoro-4-hydroxy-5-(hydroxymethyl)oxolan-2-yl]-5-methylpyrimidine-2,4-dione
- 6295-41-6/bis(2,4-dichlorobenzyl) sulfide
- 32020-21-6/(~60~Fe)iron
- 117994-73-7/1,2-di-6,9-hexacosadienoylphosphatidylcholine
- 55352-36-8/propan-2-yl 2,3,5,6-tetramethylbenzoate
- 68646-99-1/136883-58-4
- 91874-97-4/2-vinyl-4-(hydroxymethyl)deuteroporphyrin IX
- 120373-36-6/UNOPROSTONE
- 35471-06-8/10,15,26-trimethoxy-4,20-dimethyl-12,28-dioxa-4,20-diazaheptacyclo[27.2.2.1~7,11~.1~13,17~.1~23,27~.0~3,8~.0~21,35~]hexatriaconta-1(31),7(36),8,10,13(35),14,16,23(34),24,26,29,32-dodecaen-14-ol (non-preferred name)
- 72468-80-5/N,N-dimethyl-4-{2-[(E)-2-phenylethenyl]phenoxy}butan-1-amine hydrochloride
- 1897-90-1/SRC-909
- 58109-87-8/paracetamol cysteine
- 58038-61-2/2,3-dihydroxypropyl bis(4-chlorophenoxy)acetate
- 949-56-4/3,7-dinitro-1,3,5,7-tetraazabicyclo[3.3.1]nonane
