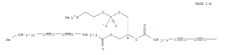
1,2-Di-(heptacosadiynoyl)-sn-glycero-3-phosphocholine(118024-74-1)
- Name: 1,2-Di-(heptacosadiynoyl)-sn-glycero-3-phosphocholine
- Synonyms:1,2-Bis(11,13-heptacosadiynoyl)-sn-glycero-3-phosphocholine
- Molecular Formula:C62H108 N O8 P
- Molecular Weight:0
- CAS Registry Number:118024-74-1
- EINECS:
- Melting Point:
- Water Solubility:
 
	   Other Product
- 93245-26-2/bis(trifluoroacetyl)primaquine
- 101153-65-5/Pentanoic acid,2-hydroxy-3-methyl-, 8-(b-D-glucopyranosyloxy)dodecahydro-3,6,9-tris(methylene)-2-oxoazuleno[4,5-b]furan-4-ylester (9CI)
- 54577-18-3/PlPdRdRu25-10-1.5
- 610-89-9/ethyl 2-acetylpent-4-enoate
- 38942-70-0/(2E)-2-(1-{4-[(3-amino-2,3,6-trideoxyhexopyranosyl)oxy]-2,5,12-trihydroxy-7-methoxy-6,11-dioxo-1,2,3,4,6,11-hexahydrotetracen-2-yl}ethylidene)hydrazinecarboxamide
- 82608-15-9/6-methyl-4-(methylsulfanyl)pyridazin-3-amine
- 111535-42-3/1,3,5-Triazine-2,4-diamine,6-chloro-N2,N2-bis(1-methylethyl)-N4-(1-phenylethyl)-
- 77713-54-3/bis[2-(diethylamino)ethyl] (naphthalen-1-ylmethyl)(tetrahydrofuran-2-ylmethyl)propanedioate diethanedioate
- 88542-99-8/(1R)-2-(hexadecanoyloxy)-1-{[(hydroxy{[(2S,3R,5S,6S)-2,3,4,5,6-pentahydroxycyclohexyl]oxy}phosphoryl)oxy]methyl}ethyl (9Z,12Z)-octadeca-9,12-dienoate
- 49548-36-9/Levamisole
- 56039-55-5/cis-3,4-dimethylcyclopentene
- 74401-79-9/phenyl 3,3-diethyl-2,4-dioxo-3,4-dihydropyridine-1(2H)-carboxylate
- 85905-85-7/ethyl (2-methoxyphenyl){[tris(2-methylpropyl)silyl]oxy}acetate
- 980-44-9/N-[[4-[bis(2-chloroethyl)amino]phenyl]methylideneamino]-4-methyl-benzenesulfonamide
- 158282-51-0/Alkenes,ethylene-manuf.-by-product C5-cut, polymers with1-methyl-3-(1-methylethenyl)benzene and 1-methyl-4-(1-methylethenyl)benzene
- 37281-31-5/Rifamycin, 3,3-(1,4-piperazinediylbis(nitrilomethylidyne))bis-
- 90027-90-0/Date, ext.
- 5266-97-7/4-hydroxynaphthalen-1-yl methylcarbamate
- 118024-74-1/1,2-Di-(heptacosadiynoyl)-sn-glycero-3-phosphocholine
- 1391-75-9/GITALIN
- 63972-03-2/Phosphorothioicchloride diiodide (9CI)
- 6710-67-4/ethyl 2-methyl-5-oxo-4-phenyl-1,4,4a,5,6,7-hexahydroquinoline-3-carboxylate
- 29768-83-0/1H-1,2,4-Triazole-5-diazonium
- 6318-42-9/5-(4-methoxybenzyl)imidazolidine-2,4-dione
- 25142-28-3/2-phenylimidazo[1,2-a]pyridin-3-ol
- 62833-94-7/2-{[(1-oxidopyridin-4-yl)carbonyl]amino}benzoic acid
- 88221-02-7/4-acetyl-5-thiophen-2-yldihydrofuran-2(3H)-one
- 52824-29-0/2-chloro-6-methoxy-8-nitroquinoline
- 199600-36-7/Maculalactone D
- 6176-74-5/ethyl 2-(5-{(Z)-[1-(3-chlorophenyl)-2,4,6-trioxotetrahydropyrimidin-5(2H)-ylidene]methyl}furan-2-yl)benzoate

 
               
       