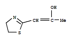
1-Propen-2-ol, 1-(4,5-dihydro-2-thiazolyl)- (9CI)(109775-43-1)
- Name: 1-Propen-2-ol, 1-(4,5-dihydro-2-thiazolyl)- (9CI)
- Synonyms:2-Thiazoline,2-(2-hydroxypropenyl)- (5CI)
- Molecular Formula:C6H9 N O S
- Molecular Weight:143.20676
- CAS Registry Number:109775-43-1
- EINECS:
- Melting Point:
- Water Solubility:
 
	   Other Product
- 109831-70-1/5-Pyrimidinecarbonitrile, 4,6-diamino- (9CI)
- 109831-68-7/5-Pyrimidinecarboxaldehyde, 4,6-diamino- (9CI)
- 109831-65-4/Isoxazole, 5-cyclohexyl-3-methyl- (9CI)
- 109831-64-3/Isoxazole, 5-cyclohexyl- (9CI)
- 109819-94-5/1-Piperazineethanol,3-methyl-4-propyl-(6CI)
- 109812-64-8/2-METHYL-1,5-DIPHENYL-1H-PYRROLE-3-CARBOXYLIC ACID
- 109806-71-5/4-[(4-CHLOROPHENYL)PHENYLMETHYL]-1-PIPERAZINEETHANOL DIHYDROCHLORIDE
- 109802-64-4/ETHYL 3-PHENYL-4-ISOQUINOLINECARBOXYLATE
- 109801-25-4/1,3-Butanedione, 2-fluoro-1-phenyl- (9CI)
- 109801-21-0/2-Cyclohexen-1-one, 2-fluoro-3-hydroxy-5,5-dimethyl-
- 109794-96-9/Cyclobutanecarboxylic acid, 1-amino-3-(hydroxymethyl)-, cis- (9CI)
- 109789-17-5/cis-Hexahydro-3-methylene-furo[2,3-b]furan
- 109789-15-3/trans-3-Bromot-2-(2-propynyloxy)-etrahydrofuran
- 109784-74-9/(6S)-5,6,7,8-TETRAHYDRO-L-BIOPTERIN SULFATE
- 109781-47-7/PT(II) MESO-TETRA(PENTAFLUOROPHENYL)PORPHINE
- 109777-66-4/2H-Imidazol-2-one, 1,3-dihydro-4-methyl-5-(trifluoroacetyl)- (9CI)
- 109777-65-3/1H-Imidazole-4-carboxamide,2,3-dihydro-5-methyl-2-thioxo-(9CI)
- 109777-05-1/Cyclopropane-1,1,2,2,3,3-hexacarboxylicacidhexamethylester
- 109776-93-4/Furan, 3,3-dichloro-2-fluorotetrahydro- (9CI)
- 109775-43-1/1-Propen-2-ol, 1-(4,5-dihydro-2-thiazolyl)- (9CI)
- 109772-27-2/2-Piperidinecarboxylicacid,2-methyl-,methylester,(S)-(9CI)
- 109770-82-3/(3-BROMO-4,5-DIHYDRO-ISOXAZOL-5-YLMETHYL)-CARBAMIC ACID TERT-BUTYL ESTER
- 109768-37-8/TYZOR(R) 131 ORGANIC TITANATE
- 109766-79-2/dowex retardion 11a8
- 109751-81-7/TRIMETHYLSILYL 4-TRIMETHYLSILYLCROTONATE
- 109749-62-4/Pyridine, 2-ethyl-4-methyl-6-(1-methylethyl)- (9CI)
- 109746-12-5/7,8-Diazatricyclo[4.2.1.02,5]non-7-ene, 9,9-dimethyl-, (1-alpha-,2-alpha-,5-alpha-,6-alpha-)-
- 109742-44-1/Cesiumdodecaborate,10Benriched
- 109738-21-8/VANADYL 2 9 16 23-TETRAPHENOXY-29H 31H-&
- 109737-31-7/3-Pyridinecarboxylicacid,5-(acetylamino)-,methylester(9CI)

 
               
       