Current position:Home >Product >
1-O-(L-tyrosylglycylglycyl-L-phenylalanyl-L-leucyl)-beta-D-glucopyranose
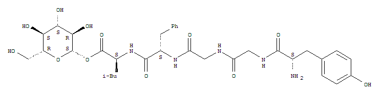
1-O-(L-tyrosylglycylglycyl-L-phenylalanyl-L-leucyl)-beta-D-glucopyranose(117833-65-5)
- Name: 1-O-(L-tyrosylglycylglycyl-L-phenylalanyl-L-leucyl)-beta-D-glucopyranose
- Synonyms:L-Leucine,N-[N-[N-(N-L-tyrosylglycyl)glycyl]-L-phenylalanyl]-, b-D-glucopyranosyl ester
- Molecular Formula:C34H47 N5 O12
- Molecular Weight:717.7633
- CAS Registry Number:117833-65-5
- EINECS:
- Melting Point:
- Water Solubility:
Other Product
- 128156-84-3/Benzeneacetic acid,4-chloro-a-(4-chlorophenyl)-a-hydroxy-,2-(2-bromo-1-oxopropyl)hydrazide
- 91513-55-2/1-phenylethanamine - dichloroplatinum (2:1)
- 83045-10-7/Arsine imide
- 86432-24-8/(2R)-2-[(2S,3S,6R)-6-[4-amino-5-(hydroxymethyl)-2-oxopyrimidin-1(2H)-yl]-3-{[(2S)-2-amino-3-hydroxypropanoyl]amino}-3,6-dihydro-2H-pyran-2-yl]-5-[(diaminomethylidene)amino]-2-hydroxypentanoic acid (non-preferred name)
- 195725-90-7/Poly(nitrilomethanetetraylnitrilo-1,4-cyclohexanediylmethylene- 1,4-cyclohexanediyl),R- [4-[[4-[[(2-hydroxyethoxy)carbonyl]amino]cyclohexyl] methyl]cyclohexyl]-ö-[[(2-hydroxyethoxy)- carbonyl]amino]-
- 107484-59-3/2-Oxabicyclo[3.2.1]octan-3-one,7-[(1a,3b)-1-(acetyloxy)-3-[(6-O-b-D-glucopyranosyl-b-D-glucopyranosyl)oxy]androst-5-en-17-yl]-4-hydroxy-4,5-dimethyl-,(1R,4R,5R,7S)- (9CI)
- 68909-86-4/9-Octadecenoic acid (Z)-, reaction products with 2-[(2-aminoethyl)amino]ethanol, glycolates (salts)
- 57877-85-7/2,3,5-trimethyl-1,2,4,3,5-thiadiazadiborolidine
- 95851-19-7/Kusulactone
- 125692-40-2/H-CYS-THR-CYS-PHE-THR-TYR-LYS-ASP-LYS-GLU-CYS-VAL-TYR-TYR-CYS-HIS-LEU-ASP-ILE-ILE-TRP-OH
- 28979-93-3/Cyclooct[f]isobenzofuran-1,3-dione
- 76-17-5/1,2,3-TRICHLOROPENTAFLUOROPROPANE
- 6746-27-6/5-METHYL-1,3,5-TRIAZINANE-2-THIONE
- 61710-23-4/Antibiotic M-92, BA-4 component
- 52190-18-8/N-Phenyl-1H-indole-3-acetamide
- 64567-64-2/Cuprate(4-), [m-[[3,3'-[[3,3'-di(hydroxy-kO)[1,1'-biphenyl]-4,4'-diyl]bis(2,1-diazenediyl-kN1)]bis[5-amino-4-(hydroxy-kO)-2,7-naphthalenedisulfonato]](8-)]]tetrakis[2,2'-(imino-kN)bis[ethanol]]di-, hydrogen(1:4)
- 6281-57-8/1-Benzoyl-3-(2,5-dichlorophenyl)thiourea
- 79559-60-7/(4E)-7-(4-hydroxy-3-methoxyphenyl)-1-phenylhept-4-en-3-one
- 117833-65-5/1-O-(L-tyrosylglycylglycyl-L-phenylalanyl-L-leucyl)-beta-D-glucopyranose
- 38033-18-0/5-methoxy-5,6-dihydrophosphanthridine 5-oxide
- 17306-46-6/Rhoifolin
- 27952-37-0/Palladium,dichloro(1,2-propanediamine-kN,kN')-, (SP-4-3)- (9CI)
- 68584-88-3/37291-07-9
- 67624-96-8/2-Diethylamino-N-(2-chloro-6-methylphenyl)propionamide
- 17755-64-5/3',4',5'-Trimethoxy-α-[4-(p-methoxyphenyl)-1-piperazinyl]acetophenone
- 1253-43-6/cortisol 21-sulfate
- 138921-83-2/EB 1231
- 67704-50-1/2-[(2-hydroxy-2-phenylethyl)amino]-2-methylpropan-1-ol hydrochloride
- 31181-04-1/5-(trifluoromethyl)isoquinoline-1-carbaldehyde thiosemicarbazone
- 12045-64-6/ZIRCONIUM BORIDE
