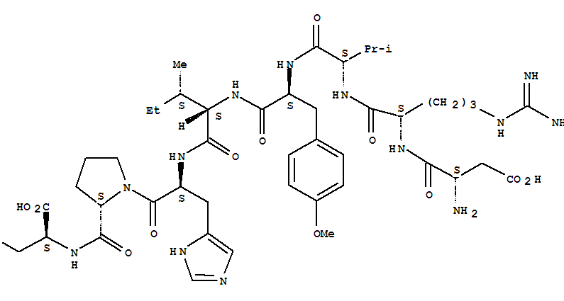
1-De-asp-4-Me-tyr-angiotensin II(25061-83-0)
- Name: 1-De-asp-4-Me-tyr-angiotensin II
- Synonyms:AngiotensinII, 4-[3-(p-methoxyphenyl)-L-alanine]-5-L-isoleucine- (8CI);4-(O-Methyltyrosine)-5-isoleucine angiotensin II;5-L-Isoleucine-4-(methoxytyrosine)angtiotensin II
- Molecular Formula:C51H73 N13 O12
- Molecular Weight:0
- CAS Registry Number:25061-83-0
- EINECS:
- Melting Point:
- Water Solubility:
Other Product
- 28692-38-8/lithium 2-(4-chloro-2-methylphenoxy)propionate
- 41546-47-8/L-Apio-α-D-furanose
- 148000-44-6/b-D-Glucopyranoside,6-[[2-O-acetyl-6-deoxy-3-O-[(2E)-1-oxo-3-phenyl-2-propenyl]-a-L-mannopyranosyl]oxy]-1a,1b,2,5a,6,6a-hexahydro-1a-(hydroxymethyl)oxireno[4,5]cyclopenta[1,2-c]pyran-2-yl,(1aS,1bS,2S,5aR,6S,6aS)- (9CI)
- 131484-62-3/(1S)-3-[(2E,4R)-4,5-dihydroxypent-2-en-1-yl]-2-methyl-4-oxocyclopent-2-en-1-yl (1R,3R)-3-[(1Z)-3-methoxy-2-methyl-3-oxoprop-1-en-1-yl]-2,2-dimethylcyclopropanecarboxylate
- 31574-14-8/1,2-dimethoxy-4-[(4-methoxyphenoxy)methyl]benzene
- 20473-36-3/2,3-dichloro-3-phenylpropanal
- 49841-53-4/2-chloro-1,4-di(propan-2-yl)benzene
- 28358-65-8/1-(1-PHENYL-VINYL)-NAPHTHALENE
- 39027-79-7/Homomeroquinene
- 56545-54-1/3-ACETYLAMINO-5-METHYL-1H-INDOLE-2-CARBOXYLIC ACID
- 2827-18-1/1-ethyl-3-(4-methylphenyl)thiourea
- 21263-06-9/3-[4-(2-methoxy-2-phenylethyl)piperazin-1-yl]-2-methyl-1-(thiophen-2-yl)propan-1-one dihydrochloride
- 68555-31-7/gamma-methylbenzenehexanenitrile
- 69372-22-1/4H-Pyrido[1,2-a]pyrimidin-4-one,9-methyl- 3-(1H-tetrazol-5-yl)-,sodium salt
- 40747-57-7/(5Z)-3-(4-bromophenyl)-5-[(3,4-dimethylphenyl)methylidene]-2-thioxoimidazolidin-4-one
- 94030-97-4/2-[(8-fluoro-2,3-dihydro-1-methyl-5-phenyl-1H-1,4-benzodiazepin-2-yl)methyl]-1H-isoindole-1,3(2H)-dione
- 67050-17-3/5-(1-butoxyethyl)-5-ethylpyrimidine-2,4,6(1H,3H,5H)-trione
- 94200-46-1/diammonium 4,4,5,5,6,6,7,7,8,8,9,9,10,10,11,11,12,12,13,13,13-henicosafluoro-2-hydroxytridecyl phosphate
- 85736-67-0/Quaternary ammonium compounds, C12-18-alkyl(2-hydroxypropyl)dimethyl, chlorides
- 25061-83-0/1-De-asp-4-Me-tyr-angiotensin II
- 6773-29-1/bis(methoxycarbonyl)methylidene-imino-azanium
- 21894-72-4/4-iodoamphetamine
- 158931-48-7/2(5H)-Furanone,4-[(2S,3aS,3bS,5aS,9aS,9bR,11aS)-11a-[(acetyloxy)methyl]hexadecahydro-3a,6,6,9a-tetramethylphenanthro[2,1-b]furan-2-yl]-2-hydroxy-(9CI)
- 37360-10-4/Iron alloy,base,Fe,C,Cr,Mn,Ni,Si,V (Kh12FN)
- 136058-54-3/[SER2]-NEUROMEDIN C
- 137578-05-3/Bothriolide
- 89410-21-9/(2Z)-1-(2-{[(E)-3H-indol-3-ylidenemethyl]amino}phenyl)-3-phenylprop-2-en-1-one
- 84176-78-3/1-benzyl-4-(phenylamino)piperidine-4-methylamine
- 2430-01-5/2-bromo-N,N-diethyl-acetamide
- 18966-33-1/N-(2-hydroxyethyl)-N-[(3-methylbicyclo[2.2.1]hept-2-yl)methyl]-4-oxopentanamide
